18luck手机客户端
电话:023-67898391
邮箱:285984997@qq.com
地址:A区(实训基地):重庆市江北区寸滩港安二路48号曙光工业园 B区(教育基地):重庆市江北区石马河桂花园路200号
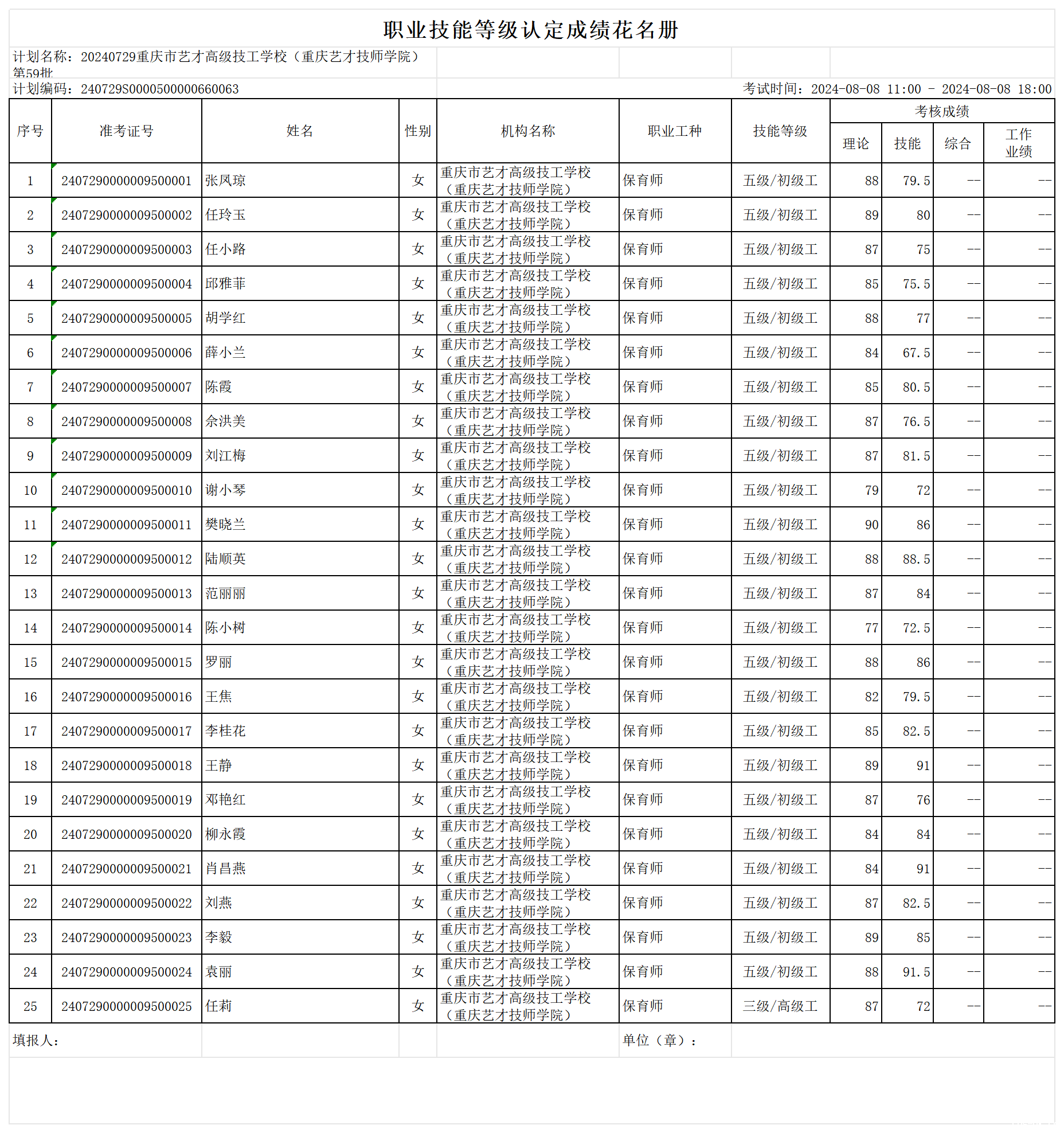
根据《重庆市职业技能等级认定操作指南(试行)》的文件精神,现将2024年第59批次保育师五级、三级考试成绩予以公示,请下载查看

恭喜通过考试的各位考生!
学校以前风采展示:http://a.cqol.cn/cqycjx_com
公司地址:A区(实训基地):重庆市江北区寸滩港安二路48号曙光工业园 B区(教育基地):重庆市江北区石马河桂花园路200号 公司名称:18luck手机客户端
Copyright © 2018-2019 渝ICP备05014495号 技术支持:重庆智佳科技 声明:本站部分内容图片来源于互联网,如有侵权请联系管理员删除,谢谢!